首页 返回 新闻科普

GB 1886.237-2016 食品安全国家标准 食品添加剂 植酸(又名肌醇六磷酸)

信息详细

GB 1886.237-2016 食品安全国家标准 食品添加剂 植酸(又名肌醇六磷酸)

范围

本标准适用于以米糠、玉米等植物为原料,用化学方法提取、纯化、浓缩而制得的食品添加剂植酸(又名肌醇六磷酸)。

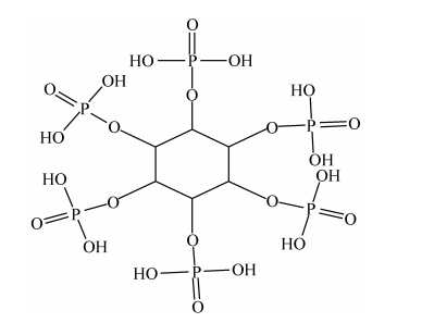
分子式、结构式和相对分子质量
2.1 分子式

      C6H18O24P6

2.2 结构式

      

2.3 相对分子质量

      660.02(按2013年国际相对原子质量)

技术要求

3.1 感官要求

      感官要求应符合表1的规定。

感官要求

项目

要求

检验方法

色泽

淡黄色或浅褐色

取适量试样置于清洁、干燥的玻璃器皿中,在自然光线下观察其色泽、状态

状态

豁稠液体

 

更多标准内容点击以下链接获取标准全文:

下载地址:《GB 1886.237-2016 食品安全国家标准 食品添加剂 植酸(又名肌醇六磷酸)

电话: 076982652668
广东华科检测技术服务有限公司 版权所有