首页 返回 新闻科普

GB 1903.2-2015 食品安全国家标准 食品营养强化剂 甘氨酸锌

信息详细

GB 1903.2-2015 食品安全国家标准 食品营养强化剂 甘氨酸锌

1 范围

      本标准适用于由甘氨酸和氧化锌反应,经降温结晶制得的食品营养强化剂甘氨酸锌。

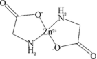
2 分子式、结构式和相对分子质量
2.1 分子式

      Zn(OOCCH2NH2)2

2.2 结构式

       

2.3 相对分子质量

      213.51(按2011年国际相对原子质量)

3 技术要求

3.1 感官要求

      感官要求应符合表1的规定。

1 感官要求

项目

要求

检验方法

色泽

白色

取适量试样置于清洁、干燥的白瓷盘中,在自然光线下,观察其色泽和状态

状态

结晶性粉末

3.2 理化指标

      理化指标应符合表2的规定。


点击下方链接下载标准全文:

下载地址:《GB 1903.2-2015 食品安全国家标准 食品营养强化剂 甘氨酸锌

电话: 076982652668
广东华科检测技术服务有限公司 版权所有