首页 返回 新闻科普

GB 1903.6-2015 食品安全国家标准 食品营养强化剂 维生素E琥珀酸钙

信息详细

GB 1903.6-2015 食品安全国家标准 食品营养强化剂 维生素E琥珀酸钙

1 范围

本标准适用于维生素E(d-a-生育酚)与琥珀酸醉进行酯化反应,再与钙盐反应形成的食品营养强化剂维生素E琥珀酸钙。

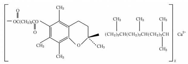
2 分子式、结构式和相对分子质量 

2.1 分子式

      C66H106CaO10

2.2 结构式

       

2.3 相对分子质量

      1099.64(按2011年国际相对原子质量)

3 技术要求

3.1 感官要求

      感官要求应符合表1的规定。

1 感官要求

项目

要求

检验方法

色泽

白色至浅黄色

将适量试样置于清洁、干燥的白瓷盘中,在自然光线下,观察其色泽和状态

状态

颗粒性粉末,无粘结

3.2 理化指标

      理化指标应符合表2的规定。


获取标准全文:

下载地址:《GB 1903.6-2015 食品安全国家标准 食品营养强化剂 维生素E琥珀酸钙 


电话: 076982652668
广东华科检测技术服务有限公司 版权所有