首页 返回 新闻科普

GB 6227.1-2010 食品安全国家标准 食品添加剂 日落黄

信息详细

GB 6227.1-2010 食品安全国家标准 食品添加剂 日落黄

1 范围

本标准适用于由对氨基苯磺酸重氮化后与薛佛氏盐偶合而制得的食品添加剂日落黄。

2 规范性引用文件

本标准中引用的文件对于本标准的应用是必不可少的。凡是注日期的引用文件,仅所注日期的版本适用于本标准。凡是不注日期的引用文件,其最新版本(包括所有的修改单)适用于本标准。

3 化学名称、结构式、分子式和相对分子质量

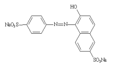
3.1 化学名称

6-羟基-5-[(4-磺酸基苯基)偶氮]-2-萘磺酸的二钠盐

3.2 结构式:

       

3.3 分子式

C16H10N2Na2O7S2

3.4 相对分子质量

      452.37(按2007年国际相对原子质量)

4 技术要求

4.1 感官要求:应符合表1的规定。

1 感官要求

项目

要求

检验方法

色泽

橙红色

自然光线下采用目视评定。

组织状态

粉末或颗粒

 

4.2 理化指标:应符合表2的规定。


获取标准全文:

下载地址:《GB 6227.1-2010 食品安全国家标准 食品添加剂 日落黄

电话: 076982652668
广东华科检测技术服务有限公司 版权所有