首页 返回 新闻科普

GB 8270-2014 食品安全国家标准 食品添加剂 甜菊糖苷

信息详细

GB 8270-2014 食品安全国家标准 食品添加剂 甜菊糖苷

范围

本标准适用于以甜叶菊(Stevia Rebaudiana Bertoni)干叶为原料,经提取、精制而得的食品添加剂甜菊糖。主要糖为甜菊和瑞鲍迪苷A,其他已知糖包括瑞鲍迪苷B、瑞鲍迪苷C、瑞鲍迪苷D瑞鲍迪苷F、杜克苷A、甜茶及甜菊双糖

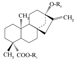
分子式、结构式和相对分子质量

2.1 主要糖普的分子式

      甜菊C38H60O18

      瑞鲍迪苷A:C44H70O23

2.2 9种糖普的结构式

      


      9
种糖的化合物名称、R1位取代基和R3位取代基见表1

1 9种糖的化合物名称、R1位取代基和R2位取代基

化合物名称

R1位取代基

R2位取代基

中文名称

英文名称

甜菊

stevioside

β-Glc

β-Glc-β-Glc(21)

瑞鲍迪A

rebaudioside A

β-Glc

β-Glc-β-Glc(21)

β-Glc(31)

瑞鲍迪B

rebaudioside B

H

β-Glc-β-Glc(21)

β-Glc(31)

瑞鲍迪C

rebaudioside C

β-Glc

β-Glc-β-Glc(21)

β-Glc(31)

瑞鲍迪D

rebaudioside D

β-Glc-β-Glc(21)

β-Glc-β-Glc(21)

β-Glc(31)

瑞鲍迪F

rebaudioside F

β-Glc

β-Glc-β-Glc(21)

β-Glc(31)

 

点击下方链接下载标准全文:

下载地址:《GB 8270-2014 食品安全国家标准 食品添加剂 甜菊糖苷 

电话: 076982652668
广东华科检测技术服务有限公司 版权所有