首页 返回 新闻科普

GB 10617-2005 食品添加剂 蔗糖脂肪酸酯(丙二醇法)

信息详细

GB 10617-2005 食品添加剂 蔗糖脂肪酸酯(丙二醇法)

1 范围
      
本标准规定了食品添加剂蔗糖脂肪酸酯(丙二醇法)的要求、试验方法、检验规则及标志、包装、运输和贮存。
      
本标准适用于蔗糖与脂肪酸乙酚在丙二醇为溶剂条件下反应合成的食品添加剂蔗糖脂肪酸酯。该产品在食品加工工业中主要用作乳化剂、水果保鲜剂、煮糖助剂等。

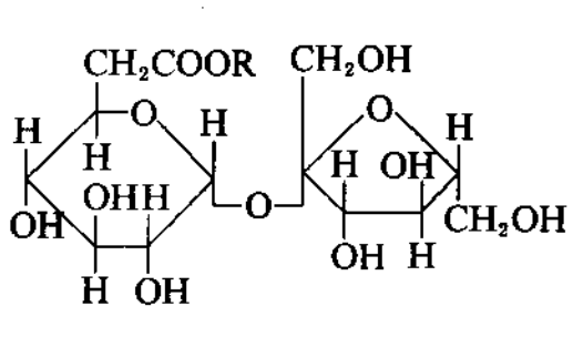
      分子式:C30O12H56(以蔗糖单硬脂酸计)

      结构式:

       

      R=C17H35

      相对分子质量:608.76(按2001年国际相对原子质量)

2 规范性引用文件

    下列文件中的条款通过本标准的引用而成为本标准的条款。凡是注日期的引用文件,其随后所有的修改单(不包括勘误的内容)或修订版均不适用于本标准,然而,鼓励根据本标准达成协议的各方研究是否可使用这些文件的最新版本。凡是不注日期的引用文件,其最新版本适用于本标准。

      GB/T 601 化学试剂 标准滴定溶液的制备

      GB/T 602 化学试剂 杂质测定用标准溶液的制备(GB/T 602-2002,ISO 6353-1:1982,NEQ)
      GB/T 603 化学试剂 试验方法中所用制剂及制品的制备(GB/T 603-2002,ISO 63531;1982, NEQ)

      GB/T 1250 极限数值的表示方法和判定方法

      GB/T 5001.74 食品添加剂中重金属限量试验

      GB/T 5009.76 食品添加剂中砷的测定

      GB/T 6284 化工产品中水分含量测定的通用方法重量法

      GB/T 6678-2003 化工产品采样总则

      GB/T 6682分析实验室用水规格和试验方法(GB/T 6682-1992,eqv ISO 3696:1987)
      GB/T 7531 有机化工产品灰分的测定

3 要求

3.1 外观:白色或淡黄色粉末。

3.2 食品添加剂蔗糖脂肪酸酯的质量应符合表1所示的技术要求。

 

点击下方链接下载标准全文:

下载地址:《GB 10617-2005 食品添加剂 蔗糖脂肪酸酯(丙二醇法)

电话: 076982652668
广东华科检测技术服务有限公司 版权所有