首页 返回 新闻科普

GB 14750-2010 食品安全国家标准 食品添加剂 维生素A

信息详细

GB 14750-2010 食品安全国家标准 食品添加剂 维生素A

1 范围

      本标准适用于以β-紫罗兰酮为起始原料,经化学合成制得的食品添加剂维生素A。 

2 规范性引用文件
      
本标准中引用的文件对于本标准的应用是必不可少的。凡是注日期的引用文件,仅所注日期的版本适用于本标准。凡是不注日期的引用文件,其最新版本(包括所有的修改单)适用于本标准。

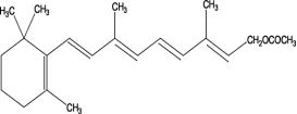
3 化学名称、分子式、结构式和相对分子质量

3.1 化学名称

      反式-3,7-二甲基-9-(2,6,6-三甲基-1-环己烯基-1)-2,4,6,8-壬四烯乙酸酯

3.2 分子式

      C22H32O2

3.3 结构式

       

3.4 相对分子质量

      328.49(按照2007年国际相对原子质量)

4 技术要求

4.1 感官要求:应符合表1的规定。

1 感官要求

项目

要求

检验方法

色泽

淡黄色

取适量样品置于清洁、干燥的试管中,在自然光线下,观察其色泽和组织状态,嗅其气味。

气味

无酸败味,几乎无臭或有微弱的鱼腥味

组织状态

油溶液,冷冻后可固化

4.2 理化指标:应符合表2的规定。

 

点击下方链接下载标准全文:

下载地址:《GB 14750-2010 食品安全国家标准 食品添加剂 维生素A

电话: 076982652668
广东华科检测技术服务有限公司 版权所有