首页 返回 新闻科普

GB 14756-2010 食品安全国家标准 食品添加剂 维生素E(dl-α-酯酸生育酚)

信息详细

GB 14756-2010 食品安全国家标准 食品添加剂 维生素E(dl-α-酯酸生育酚)

1 范围

本标准适合用于由三甲基氢醌与异植物醇为原料,经化学合成法制得的食品添加剂维生素E (di-a-酯酸生育酚)。

2 规范性引用文件

下列文件中的条款通过本标准的引用而成为本标准的条款。凡是注日期的引用文件,仅所注日期的版本适用于本标准。凡是不注日期的引用文件,其最新版本(包括所有的修改单)适用于本标准。

3 化学名称、分子式、结构式和相对分子质量

3.1 化学名称

      Dl-2,5,7,8-四甲基-2-(4,8,12-三甲基十三烷基)-6-苯并二氢吡喃醇酯酸酯

3.2 分子式

      C31H52O3

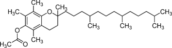
3.3 结构式
      
 

3.4 相对分子质量

      472.75(按2007年国际相对原子质量)

4 技术要求

4.1 感官要求:应符合表1的规定。

1 感官要求

项目

要求

检验方法

色泽

微黄色至黄色或黄绿色,遇光色渐变深

取适量样品置于清洁、干燥的试管中,在自然光线下,观察色泽和组织状态,嗅其气味。

气味

几乎无臭

组织状态

澄清的豁稠液体

4.2 理化指标:应符合表2的规定。

 

点击下方链接下载标准全文:

下载地址:《GB 14756-2010 食品安全国家标准 食品添加剂 维生素E(dl-α-酯酸生育酚)

电话: 076982652668
广东华科检测技术服务有限公司 版权所有