首页 返回 新闻科普

GB 25531-2010 食品安全国家标准 食品添加剂 三氯蔗糖

信息详细

GB 25531-2010 食品安全国家标准 食品添加剂 三氯蔗糖

1 范围

本标准适用于以蔗糖为原料,用氯原子选择性取代三个羟基而制得的食品添加剂三氯蔗糖。

2 规范性引用文件

本标准中引用的文件对于本标准的应用是必不可少的。凡是注日期的引用文件,仅所注日期的版本适用于本标准。凡是不注日期的引用文件,其最新版本(包括所有的修改单)适用于本标准。

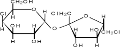
3 化学名称、分子式、结构式和相对分子质量

3.1 化学名称

1,6-二氯-1,6-二脱氧-13-D-呋喃果糖-4-氯-4-脱氧一α-D-呋喃半乳糖苷

3.2 分子式

      C12H19C13O8

3.3 结构式

       

3.4 相对分子质量

      397.63(按2007年国际相对原子质量)

4 技术要求

4.1 感官要求:应符合表1的规定。

1 感官要求

项目

要求

检验方法

色泽

白色至近白色

取适量样品置于清洁、干燥的白瓷盘中,在自然光线下,观察其色泽和组织状态,并嗅其味。

气味

无臭

组织状态

结晶性粉末

 

点击下方链接下载标准全文:

下载地址:《GB 25531-2010 食品安全国家标准 食品添加剂 三氯蔗糖

电话: 076982652668
广东华科检测技术服务有限公司 版权所有