首页 返回 新闻科普

GB 28309-2012 食品安全国家标准 食品添加剂 酸性红(偶氮玉红)

信息详细

GB 28309-2012 食品安全国家标准 食品添加剂 酸性红(偶氮玉红)

1 范围

本标准适用于1-萘胺-4-磺酸钠经重氮化后与1-萘-4-磺酸钠偶合而制得的食品添加剂酸性红(偶氮玉红)。

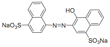
2 化学名称、结构式、分子式和相对分子质量

2.1 化学名称

      1-羟基-2- (4-偶氮萘磺酸)-4-萘磺酸二钠盐

2.2 结构式

       

2.3 分子式

      C20H12N2Na2O7S2

2.4 相对分子质量

502.43(按2007年国际相对原子质量)

3 技术要求

3.1 感官要求:应符合表1的规定。

1 感官要求

项目

要求

检验方法

色泽

红褐色至暗红褐色

取适量样品置于清洁、干燥的白瓷盘中,在自然光线下,观察其色泽和状态

状态

粉末或颗粒

 

点击下方链接下载标准全文:

下载地址:《GB 28309-2012 食品安全国家标准 食品添加剂 酸性红(偶氮玉红)

电话: 076982652668
广东华科检测技术服务有限公司 版权所有