首页 返回 新闻科普

GB 28368-2012 食品安全国家标准 食品添加剂 2,3-戊二酮

信息详细

GB 28368-2012 食品安全国家标准 食品添加剂 2,3-戊二酮

1 范围

本标准适用于由羟基丙酮为原料制得的食品添加剂2,3-戊二酮。

2 化学名称、分子式、结构式和相对分子质量

2.1 化学名称

2,3-戊二酮

2.2 分子式

C5H8O2 

2.3 结构式

       

2.4 相对分子质量

100.12(按2007年国际相对原子质量)。

3 技术要求

3.1 感官要求:应符合表1的规定。

1 感官要求

项目

要求

检验方法

色泽

黄色至绿色

将试样置于比色管内,用目测法观察

状态

液体

香气

尖刺气息,稀释时带有黄油样香气

GB/T 14454.2

3.2 理化指标:应符合表2的规定。

2 理化指标

项目

指标

检验方法

2,3-戊二酮含量,w/%

93.0≤含量<98.0

含量≥98.0

附录A

溶解度(25℃)

1mL试样全溶于3mL50%(体积分数)乙醇中

GB/T 14455.3

折光指数(20℃)

1.402~1.406

GB/T 14454.4

相对密度(25℃/25℃)

0.962~0.985

0.952~0.962

GB/T 11540

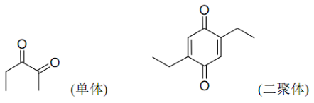
主要杂质为2,5-二乙基-2,5-环己二烯-1,4-二酮(即2,3-戊二酮的二聚体)。


点击下方链接下载标准全文:

下载地址:《GB 28368-2012 食品安全国家标准 食品添加剂 2,3-戊二酮

电话: 076982652668
广东华科检测技术服务有限公司 版权所有