首页 返回 新闻科普

GB 29223-2012 食品安全国家标准 食品添加剂 脱氢乙酸

信息详细

GB 29223-2012 食品安全国家标准 食品添加剂 脱氢乙酸

1 范围

本标准适用于双乙烯酮聚合反应制得的食品添加剂脱氢乙酸。

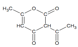
2 化学名称、分子式、结构式和相对分子质量

2.1 化学名称

3-乙酰基-6-甲基-脱(2),4-脱(3)氢二酮

2.2 分子式

      C8H8O4

2.3 结构式

 

      


2.4 相对分子质量

      168.15(按2007年国际相对原子质量)

3 技术要求

3.1 感官要求:应符合表1的规定。

1 感官要求

项目

要求

检验方法

色泽

白色至浅黄色

取适量试样,置于清洁、干燥的白瓷盘中,在自然光线下,观察色泽和状态

状态

粉末

3.2 理化指标:应符合表2的规定。

2 理化指标

项目

指标

检验方法

脱氢乙酸(C8H804)含量(以干基计),w/%

98.0~100.5

附录A中A.4

 

点击下方链接下载标准全文:

下载地址:《GB 29223-2012 食品安全国家标准 食品添加剂 脱氢乙酸

电话: 076982652668
广东华科检测技术服务有限公司 版权所有