首页 返回 新闻科普

GB 29946-2013 食品安全国家标准 食品添加剂 纤维素

信息详细

GB 29946-2013 食品安全国家标准 食品添加剂 纤维素

1 范围

本标准适用于以来源于纤维性植物的α-纤维素浆为原料,经纯化和机械粉碎后得到的食品添加剂纤维素。

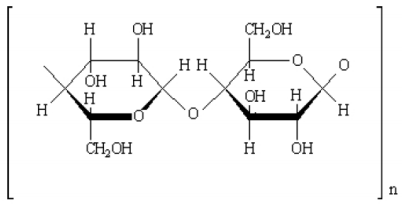
2 分子式、结构式和相对分子质量

2.1 分子式

(C12H20O10)n

2.2 结构式

      

2.3 相对分子质量

      (324) n(按2007年国际相对原子质量,n一般大于500)

3 技术要求

3.1 感官要求

      感官要求应符合表1的规定。

1 感官要求

项目

要求

检验方法

色泽

白色

取适量试样置于白瓷盘内,在自然光线下观察其色泽和状态

状态

粉状、颗粒状或片状

3.2 理化指标

      理化指标应符合表2的规定。

 

更多标准内容点击以下链接获取标准全文:

下载地址:《GB 29946-2013 食品安全国家标准 食品添加剂 纤维素

电话: 076982652668
广东华科检测技术服务有限公司 版权所有