首页 返回 新闻科普

GB 31620-2014 食品安全国家标准 食品添加剂 β-阿朴-8′-胡萝卜素醛

信息详细

GB 31620-2014 食品安全国家标准 食品添加剂 β-阿朴-8′-胡萝卜素醛

1 范围

本标准适用于由类胡萝卜素生产中常用的合成中间体,经过维蒂希聚合反应制备而成的食品添加剂β-阿朴-8’胡萝卜素醛。包含少量的其他类胡萝卜素。

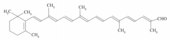
2 分子式、结构式和相对分子质量

2.1 分子式

    C30H40O。

2.2 结构式

       

2.3 相对分子质量

      416.65(按2007年国际相对原子质量)。

3 技术要求

3.1 感官要求

      应符合表1的规定。

1 感官要求

项目

要求

检验方法

色泽

深紫色带有金属光泽

取适量试样置于清洁、干燥的白瓷盘中,在自然光线下,观察其色泽和状态

状态

结晶或结晶性粉末

3.2 理化指标

      应符合表2的规定。


更多标准内容点击以下链接获取标准全文:

下载地址:《GB 31620-2014 食品安全国家标准 食品添加剂 β-阿朴-8′-胡萝卜素醛 

电话: 076982652668
广东华科检测技术服务有限公司 版权所有