首页 返回 新闻科普

QB/T 4358-2012 营养强化剂 5′-腺苷酸

信息详细

QBT 4358-2012 营养强化剂 5′-腺苷酸

1 范围

      本标准规定了营养强化剂5′-腺苷酸的要求、试验方法、检验规则和标志、包装、运输、贮存。

      本标准适用于以酵母核糖核酸(RNA)为原料,经5′-磷酸二酯酶降解而制得的5′-腺苷酸。

2 规范性引用文件

下列文件对于本文件的应用是必不可少的。凡是注日期的引用文件,仅注日期的版本适用于本文件。凡是不注日期的引用文件,其最新版本(包括所有的修改单)适用于木文件。

      GB/T 603 化学试剂 实验方法中所用制剂及制品的制备

      GB 4789.2 食品安全国家标准 食品微生物学检验 菌落总数测定

      GB 4789.3 食品安全国家标准 食品微生物学检验 大肠菌群计数平板计数法

      GB 4789.4 食品安全国家标准 食品微生物学检验 沙门氏菌检验

      GB/T 4789.5 食品卫生微生物学检验 志贺氏菌检验

      GB 4789.10 食品安全国家标准 食品微生物学检验 金黄色葡萄球菌检验

      GB 4789.15 食品安全国家标准 食品微生物学检验 霉菌和酵母计数

      GB 4789.40 食品安全国家标准 食品微生物学检验 阪崎肠杆菌检验

      GB 5009.3 食品安全国家标准 食品中水分的测定 第一法直接干燥法

      GB 5009.12 食品安全国家标准 食品中铅的测定

      GB/T 5009.11 食品中砷的测定 第一法原子荧光法

      GB/T 6682 分析实验室用水规格和试验方法

      GB/T 6040 红外光谱分析方法通则

      GB 7718 预包装食品标签通用标准

      JJF 1070 定量包装商品净含量计量检验规则

      国家质量监督检验检疫总局令[2010]第127号食品添加剂生产监督管理规定

      国家质量监督检验检疫总局令[2005]75号定量包装商品计量监督管理办法

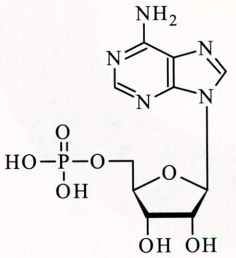
3 化学名称、英文缩写、结构式、分子式、相对分子质量

      化学名称:
      5′-腺苷酸(5′-单磷酸腺苷,5′-AMP)

      结构式:

       

      分子式:
      
C10H14N5O7P

      相对分子质量(无水):
      347.22(按2007年国际相对原子质量)

 

更多标准内容点击以下链接获取标准全文:

下载地址:《QB/T 4358-2012 营养强化剂 5′-腺苷酸 

电话: 076982652668
广东华科检测技术服务有限公司 版权所有