首页 返回 新闻科普

GB/T 22591-2008 水处理剂 双1,6-亚己基三胺五亚甲基膦酸

信息详细

GB/T 22591-2008 水处理剂 双1,6-亚己基三胺五亚甲基膦酸

1 范围

本标准规定了水处理剂双1,6-亚己基三胺五亚甲基磷酸(BHMTPMPA)的技术要求、试验方法、检测规则、标志、包装及安全要求。

该产品主要用作工业水处理中的阻垢缓蚀剂,也可用于过氧化物稳定剂、贵重金属萃取剂及电镀行业金属离子均布剂等。

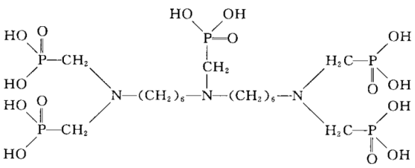
      分子式:C17H44N3O15P5

      结构式:

       

      相对分子质量:6850(按2007年国际相对原子质量)

2 规范性引用文件

      下列文件中的条款通过本标准的引用而成为本标准的条款。凡是注日期的引用文件,其随后所有的修改单(不包括勘误的内容)或修订版均不适用于本标准,然而,鼓励根据本标准达成协议的各方研究是否可使用这些文件的最新版本。凡是不注日期的引用文件,其最新版本适用于本标准。

      GB/T 191 包装贮运图示标志
      
GB/T 601 化学试剂 标准滴定溶液的制备

      GB/T 602 化学试剂 杂质测定用标准溶液的制备(GB/T 602-2002,ISO 63531:1982,NEQ)
      
GB/T 603 化学试剂 试验方法中所用制剂及制品的制备(GB/T 603-2002,ISO 63531:1982, NEQ)
      
GB/T 8170 数值修约规则与极限数值的表示和判定
      
GB/T 6678化工产品采样总则

      GB/T 6682分析实验室用水规格和试验方法(GB/T 6582-2008,ISO 3696:1987,MOD)

3 技术要求

3.1 外观:琥珀色液体。

3.2 水处理剂双1,6-亚己基三胺五亚甲基膦酸质量指标应符合表1要求。

 

更多标准内容点击以下链接获取标准全文:

下载地址:《GB/T 22591-2008 水处理剂 双1,6-亚己基三胺五亚甲基膦酸


电话: 076982652668
广东华科检测技术服务有限公司 版权所有