首页 返回 新闻科普

HG/T 4328-2012 水处理剂 氨基三亚甲基膦酸钠盐

信息详细

HG/T 4328-2012 水处理剂 氨基三亚甲基膦酸钠盐

      警告:本标准使用的强酸具有腐蚀性,使用时应避免吸入或接触皮肤。溅到身上应立即用大量水冲洗,严重时应立即就医。

1 范围

本标准规定了水处理剂氨基三亚甲基麟酸钠盐产品的要求、试验方法、检验规则以及标志、包装、运输和贮存。

本标准适用于水处理剂氨基三亚甲基麟酸钠盐。该产品主要用作循环冷却水系统、油田回注水系统、反渗透膜装置的阻垢剂等。

规范性引用文件

      下列文件对于本文件的应用是必不可少的。凡是注日期的引用文件,仅所注日期的版本适用于本文件。凡是不注日期的引用文件,其最新版本(包括所有的修改单)适用于本文件。

      GB/T 191-2008 包装储运图示标志(mod ISO 780,1997)

      GB/T 601 化学试剂 标准滴定溶液的制备

      GB/T 602-2002 化学试剂 杂质测定用标准溶液的制备(neq ISO 6353-1:1982)

      GB/T 6678 化工产品采样 总则

      GB/T 6682-2008 分析实验室用水规格和试验方法(mod ISO 3696,1987)

      GB/T 8170 数值修约规则与极限数值的表示和判定

      GB/T 22592-2008 水处理剂pH值测定方法通则(neq ISO 10523,1994)

      GB/T 22594-2008 水处理剂密度测定方法通则

分子式、结构式

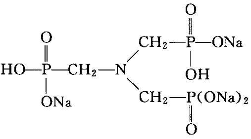
3.1 氨基三亚甲基麟酸四钠

      分子式:C3H8NO9P3Na4

      结构式:

       

      相对分子质量:386. 97(按2010年国际相对原子质量)

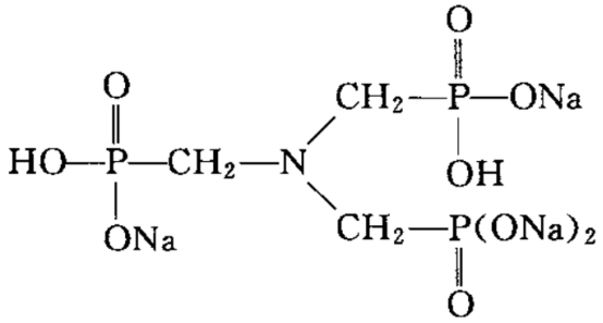
3.2 氨基三亚甲基麟酸五钠

      分子式:C3H7NO9P3Na5

      结构式:

       

更多标准内容点击以下链接获取标准全文:

下载地址:《HG/T 4328-2012 水处理剂 氨基三亚甲基膦酸钠盐

电话: 076982652668
广东华科检测技术服务有限公司 版权所有