首页 返回 新闻科普

HJ/T 343-2007 水质 氯化物的测定 硝酸汞滴定法(试行)

信息详细

HJ/T 343-2007 水质  氯化物的测定 硝酸汞滴定法(试行)

1 适用范围

本标准适用于地表水、地下水中氯化物的测定及经过预处理后,能消除干扰的其他类型废水水样中氯化物的测定。

本方法适用的浓度范围为2.5-500mg/L。曾选取有代表性的江、河、湖、库水样检验本法对地表水的适用性。13个样品测定结果统计表明,氯离子浓度范围2-290mg/L时,相对标准偏差为0.03-3.37%,加标回收率为86-102.33%。

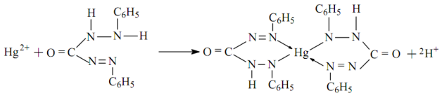
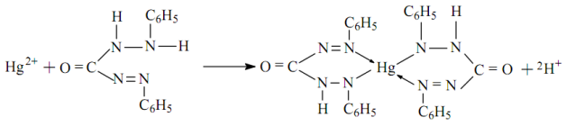
2 原理

酸化了的样品(pH=3.0-3.5)以硝酸汞进行滴定时,与氯化物生成难离解的氯化汞。滴定至终点时,过量的汞离子与二苯卡巴腙(Dipheny1carbaz0ne)生成蓝紫色的二苯卡巴腙的汞络合物指示终点。反应如下:

       

3 试剂

本标准所用试剂除另有注明外,均为符合国家标准的分析纯化学试剂;实验用水为新制备的去离子水。

3.1 氯化钠标准溶液(NaCl=0.0250m01/L):将氯化钠置于坩埚中,在500~600℃加热40~50min。冷却后称取1.461g溶于蒸馏水中,移入1000mL容量瓶中稀释到标线。

3.2 氯化钠标准溶液(NaC1=0.0141mol/L):将氯化钠置于坩埚中,在500~600℃加热40~50min。冷却后称取8.248g溶于蒸馏水,置1000mL容量瓶中,用水稀释至标线。吸取10.0mL,用水定容至100mL, 此溶液每毫升含0.500mg氯化物(Cl-)。

3.3 硝酸汞标准溶液[1/2Hg(NO3)2=0.0250mol/L]:溶解4.283g硝酸汞[Hg(NO3)2▪H2O]于50mL用0.5mL 浓硝酸酸化了的蒸馏水中,移入1000mL容量瓶中,用蒸馏水稀释至标线,有混浊时过滤,以0.0250mol/L 氯化钠标淮溶液(3.1)标定之。贮存于棕色瓶中。

3.4 硝酸汞标准溶液[1/2Hg(NO3)2=0.0141mol/L]:溶解2.416g硝酸汞[Hg(NO3)2▪H2O]于25mL用0.25mL 浓硝酸酸化了的蒸馏水中,移入1000mL容量瓶中,用蒸馏水稀释至标线,有混浊时过滤。用0.0141mol/L氯化钠标准溶液(3.2)标定之。贮存棕色瓶中。按氯化物浓度范围选用硝酸汞标准溶液浓度,以便控制滴定量并扩大测定浓度范围,如下表所示:

 

更多标准内容点击以下链接获取标准全文:

下载地址:《HJ/T 343-2007 水质 氯化物的测定 硝酸汞滴定法(试行)

电话: 076982652668
广东华科检测技术服务有限公司 版权所有