1主题内容及适用范围
1.1主题内容
本标准规定了测定工业废气和环境空气中甲醛的乙酸丙酮分光光度法。
1.2适用范围
1.2.1本方法适用于树脂制造、涂料、人造纤维、塑料、橡胶、染料、制药、油漆、制革等行业的排放废气,以及作医药消毒、防腐、熏蒸时产生的甲醛蒸气测定。
1.2.2在采样体积为0.5~10.0L时,测定范围为0.5--800mg/m3。
1.2.3当甲醛浓度为20μg/10mL时,共存8mg苯酚(400倍),10mgZ醛(500倍),600mg铵离子(30000倍)无干扰影响;共存SO2,小于20μg,NOx小于50μg,甲醛回收率不低于95%。
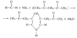
2原理
甲醛气体经水吸收后,在pH=6的乙酸一乙酸铵缓冲溶液中,与乙酞丙酮作用,在沸水浴条件下,迅速生成稳定的黄色化合物,在波长413nm处测定,反应式如下:

如需查看标准全部内容请免费下载标准,点击下方链接。
下载地址:《GB/T 15516-1995 空气质量 甲醛的测定 乙酰丙酮分光光度法》