1适用范围
本标准规定了测定水中甲醛的乙酰丙酮分光光度法。
本标准适用于地表水、地下水和工业废水中甲醛的测定,本标准不适用于印染废水。
当试样体积为25m1,比色皿光程为10mm,方法检出限为0.05mg/L,测定范围为0.20mg/L-3.20mg/L。
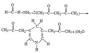
2方法原理
甲醛在过量铵盐存在下,与乙酰丙酮生成黄色的化合物,该有色物质在414nm波长处有最大吸收。有色物质在3h内吸光度基本不变。
化学反应式为:

3干扰及消除
水样中乙醛质量浓度小于3mg/L,丙醛、丁醛、丙烯醛等分别小于5mgIL时不干扰测定。此外当甲醇为20mg/L,苯酚为50mgIL,游离氰为lmg/L时未见干扰。
如需查看标准全部内容请免费下载标准,点击下方链接。
下载地址:《HJ 601-2011 水质 甲醛的测定 乙酰丙酮分光光度法》